医療・健康
アスリートの睡眠コンディショニングのカギは? ~学生アスリートに関する実証検討~
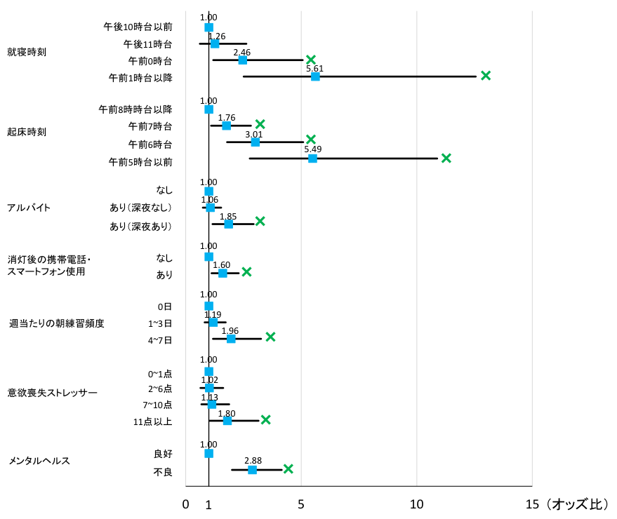
筑波大学体育系の武田文教授、門間貴史特任助教、徳山薫平教授および国際統合睡眠医科学研究機構(IIIS)の佐藤誠教授らの研究グループは、学生アスリート906名のデータから、睡眠障害と生活習慣・競技活動・競技ストレッサー・メンタルヘルスとの関係について分析しました。
その結果、学生アスリートの睡眠障害には、日付をまたぐ遅い就寝、午前7時台以前の早い起床、深夜のアルバイト、消灯後の携帯電話やスマートフォン使用といった生活習慣、週4日以上の朝練習、競技に関する意欲喪失ストレッサー、メンタルヘルス不良が関係することが明らかとなりました。

図 学生アスリートの睡眠障害のリスク要因
その結果、学生アスリートの睡眠障害には、日付をまたぐ遅い就寝、午前7時台以前の早い起床、深夜のアルバイト、消灯後の携帯電話やスマートフォン使用といった生活習慣、週4日以上の朝練習、競技に関する意欲喪失ストレッサー、メンタルヘルス不良が関係することが明らかとなりました。

図 学生アスリートの睡眠障害のリスク要因